您现在的位置:首页 >> 交易信息 >> 建设工程 >> 更正公告 >> 房建市政

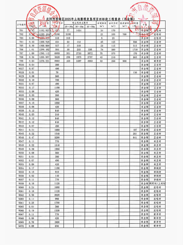
庆阳市西峰区2025年土地整理复垦项目[变更公告]
【信息来源:】【信息时间:2025/11/6 阅读次数:】【字号: 】【我要打印【关闭】
















附件:
更正公告End.pdf